El Fondo Español de Garantía Agraria (FEGA) ha publicado los importes unitarios provisionales revisados de la campaña PAC 2025 de los ecorregímenes.
Una de las principales novedades de la Política Agrícola Común (PAC) que entró en vigor la pasada campaña 2023 son los regímenes en favor del clima y el medio ambiente, más conocidos como ecorregímenes.
Regímenes voluntarios para el agricultor
Se trata de regímenes voluntarios para el agricultor, consistentes en prácticas en favor del clima y el medio ambiente, que van más allá de la línea de base (condicionalidad reforzada).
El pago anual de estas ayudas se podrá realizar en dos periodos; un anticipo del 70 % del importe total al que tiene derecho cada agricultor o ganadero, que se podrá realizar del 16 de octubre al 30 de noviembre del año de solicitud de la ayuda, y un pago del saldo que se realizaría entre el 1 diciembre y el 30 de junio del año natural siguiente al de solicitud.
Importes Unitarios (IU) provisionales
El FEGA tiene encomendado revisar los Importes Unitarios (IU) provisionales publicados en el mes de octubre para llevar a cabo el primer pago del saldo. En base a esta revisión se establecen los Importes unitarios provisionales revisados para el primer pago del saldo, partiendo de las asignaciones financieras indicativas y teniendo en cuenta los datos de superficies solicitadas por los agricultores y ganaderos en su solicitud única de ayudas de la PAC, y comunicadas al FEGA por parte de las comunidades autónomas (CCAA).
Estos importes unitarios provisionales revisados se utilizarán para hacer efectivo el primer pago del saldo a partir del 1 de diciembre, el cual podrá alcanzar hasta el 90% del importe total de la ayuda.
Las superficies solicitadas indicadas anteriormente son diferentes a las superficies utilizadas para el cálculo de los importes provisionales establecidos para abonar el anticipo, dado que las solicitudes ya han sido depuradas en esta fase de gestión.
Cálculo de importes
A la hora de calcular los IU provisionales revisados es preciso tener en cuenta que en las prácticas de siembra directa y de cubiertas vegetales, la normativa establece un complemento de plurianualidad de 25 €/ha, que debe ser pagado íntegramente a los titulares que hayan contraído el compromiso de realizar nuevamente estas prácticas en la próxima campaña.
Asimismo, también se ha aplicado la condición de insularidad de las superficies de las Islas Baleares en los ecorregímenes en los que se aplica, y el mecanismo complementario de distribución de las asignaciones financieras de los mismos.
Respecto a este punto, cabe indicar que, según la normativa, se aplica para el cálculo de los IU provisionales revisados y definitivos, pero no en el cálculo del IU provisional que se establece para el pago del anticipo.
Este reparto busca establecer una distribución más eficiente de los fondos y mitigar las posibles distorsiones a la baja de los IU cuando las superficies solicitadas son superiores a las planificadas.
El mecanismo establecido para lograr el objetivo anterior se basa en un traspaso de asignación financiera que persigue establecer, para todos los ecorregímenes, como mínimo el importe unitario planificado en el primer tramo de superficie y el 70% del importe unitario planificado en el segundo tramo de superficie.
Importes por hectárea
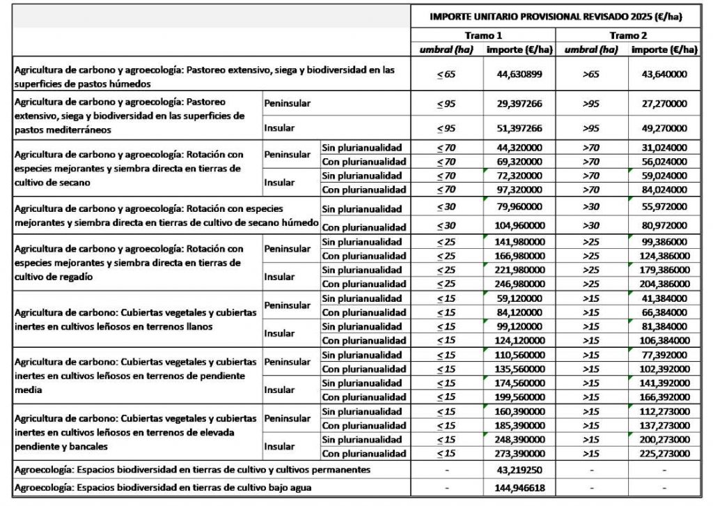
En base a todo lo anterior, los importes unitarios provisionales revisados para el primer pago del saldo quedan fijados en:

Posteriormente, a partir de la nueva información que remitan las comunidades autónomas correspondiente a la superficie total determinada para el cobro de las ayudas en abril del próximo año, se establecerá el importe unitario definitivo, con el cual se podrá realizar el segundo pago del saldo de las ayudas al 100%.
























