Una de las principales novedades de la Política Agrícola Común (PAC) que entró en vigor la pasada campaña 2023 fueron los regímenes en favor del clima y el medio ambiente, más conocidos como ecorregímenes.
Se trata de regímenes voluntarios para el agricultor, consistentes en prácticas en favor del clima y el medio ambiente, que van más allá de la línea de base (condicionalidad reforzada).
Sobre la aplicación, a partir de 2023, de las intervenciones en forma de pagos directos y el establecimiento de requisitos comunes en el marco del Plan Estratégico de la Política Agrícola Común se exponen los requisitos generales y específicos para cada una de las prácticas medioambientales disponibles, que los agricultores y ganaderos deberán respetar para poder percibir el pago directo anual por hectárea.
El pago anual de estas ayudas se podrá realizar en dos periodos; un anticipo del 70 % del importe total al que tiene derecho cada agricultor o ganadero, que se podrá realizar del 16 de octubre al 30 de noviembre del año de solicitud de la ayuda, y un pago del saldo que se realizaría entre el 1 diciembre y el 30 de junio del año natural siguiente al de solicitud.
La normativa encomienda al Fondo Español de Garantía Agraria (FEGA) establecer los importes unitarios provisionales para el pago del anticipo, teniendo en cuenta la información sobre las superficies solicitadas.
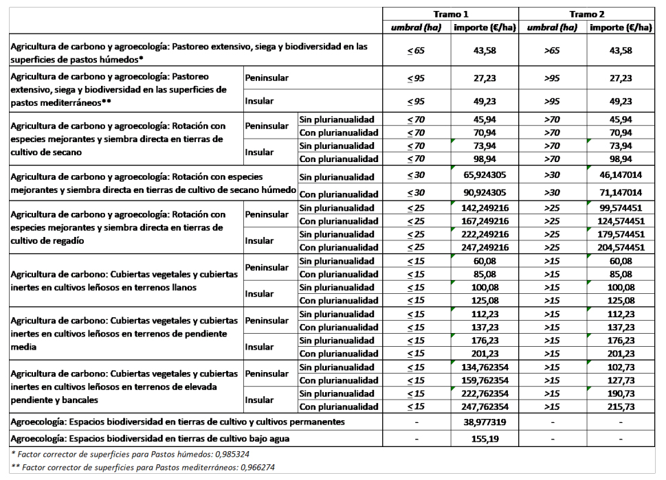
Importes unitarios provisionales 2024
Por tanto, los importes unitarios provisionales de esta campaña 2024 se han establecido con los datos de superficies solicitadas por los agricultores y ganaderos en su solicitud única de ayudas de la PAC, y comunicadas al FEGA por parte de las comunidades autónomas.
A la hora de calcular los importes provisionales es preciso tener en cuenta que en las prácticas de siembra directa y de cubiertas vegetales, la normativa establece un complemento de plurianualidad de 25 euros/hectárea, que debe ser pagado íntegramente a los titulares que hayan contraído el compromiso de realizar nuevamente estas prácticas en la próxima campaña.
Asimismo, para el cálculo se ha tenido en cuenta la condición de insularidad de las superficies de las Islas Baleares en los ecorregímenes en los que se aplica.
En base a todo lo anterior, los importes unitarios provisionales para el pago de anticipos quedan fijados en:

Estos importes unitarios provisionales podrán ser revisados a la hora de realizar el primer pago del saldo a partir del 1 de diciembre, el cual podrá alcanzar hasta el 90% del importe total de la ayuda.
Posteriormente, a partir de la nueva información que remitan las comunidades autónomas correspondiente a la superficie total determinada para el cobro de las ayudas en abril del próximo año, se establecerá el importe unitario definitivo, con el cual se podrá realizar el segundo pago del saldo de las ayudas al 100%.























