El Ministerio de Agricultura, Pesca y Alimentación ha publicado una nueva y última resolución de concesión de ayuda a productores de frutales y frutos de cáscara para compensar las dificultades debidas a la sequía y a la guerra de Ucrania.
Con esta nueva resolución el importe abonado de esta ayuda extraordinaria asciende a 82,24 millones de euros, de los que se han beneficiado 71.011 agricultores.
Con esta resolución finalizan los pagos a los agricultores y ganaderos de las distintas líneas de ayudas extraordinarias que desde mayo de 2022 ha concedido el Gobierno a agricultores y ganaderos para compensar las dificultades ocasionadas por la guerra de Ucrania y la sequía.
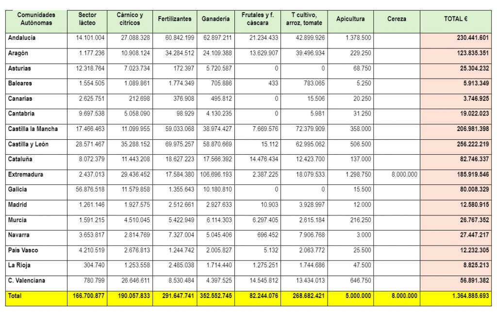
En total, se han abonado 1.364,9 millones de euros de los 1.382,35 millones de euros presupuestados, lo que representa un 98,7 % de ejecución.
Estas ayudas han beneficiado a 659.490 agricultores y ganaderos. El 90 % de las mismas ha sido financiadas con cargo a los presupuestos generales del Estado, y el 10 % restante mediante la reserva agrícola de crisis de la Unión Europea.
Líneas de ayudas habilitadas
De las siete líneas de ayudas habilitadas, cinco han sido gestionadas por el Fondo Español de Garantía Agraria (FEGA), que representan el 85% del importe total.
Este organismo autónomo del Ministerio de Agricultura, Pesca y Alimentación ha tramitado las ayudas de oficio, sin necesidad de solicitud por parte de los agricultores y ganaderos, en base a los datos de superficies y animales por los que se perciben las ayudas de la Política Agraria Común (PAC).
En estos momentos se continua con la tramitación de los recursos de alzada presentados en las distintas líneas de ayuda.
Importe pagados por tipo de ayuda extraordinaria

Beneficiarios de las ayudas por línea y CCAA

*Cereza se han transferido 8,000,000€ a las Comunidades Autónomas.
*Apicultura se han transferido 5,000,000€ a las Comunidades Autónomas.
**Un beneficiario puede aparecer varias veces si recibe más de una ayuda.






















